Sam Brook, Rob Freeman, George Rosala and Felician Campean
University of Bradford, UK
Neil Dixon
Jaguar LandRover
Copyright © 2009 SAE International
ABSTRACT
This paper presents the design and development of an ergonomic data measurement system for driver–pedals interaction. The work focuses in particular on the actuation of the acceleration and brake pedals, and aims to support the development of a deeper understanding of the factors influencing the driving comfort associated with the right leg. The ergonomic data measurement system integrates five subsystems: an electrogoniometry system and a pressure-pads system to monitor driver’s positioning and movements, an electromiography system to observe the muscular activity of the lower leg, the vehicle on-board diagnostic system, a GPS system and an audio-visual system for providing environment and driving situation information. A validation exercise involving a series of test drive events confirmed the system capability to record meaningful objective comfort data which can differentiate between driving postures and styles.
INTRODUCTION
The interest for driver comfort is primarily motivated by the practical concern for the safety and wellbeing of the driver, and also by the view that with rising customer expectations comfort has become an important product differentiator. This presents vehicle design engineers with a significant challenge, as both comfort and customer satisfaction are notoriously difficult to measure and predict at the design stage.
Given the relative lack of proven and universally accepted objective metrics for comfort, vehicle manufacturers often rely on subjective evaluations of comfort. Beyond the inherent intricacy associated with ensuring robustness of subjective evaluations this approach has a further shortcoming arising from the difficulty of establishing a functional relationship between the response (customers’ subjective feeling of comfort) and the relevant engineering design attributes. This is due to the very complex nature of the interaction between the driver anthropometrics (highly variable with demographics, gender, culture, posture), vehicle packaging attributes (primarily seat / pedals / steering wheel position, but also headroom, interior styling, and environmental inputs such as wind / road noise and vibration) and the sensitivity of the subjective comfort assessment to social factors such as vehicle nameplate or purchase price of the vehicle. This complexity is further compounded by the need to assess the dynamics of this relationship in terms of short term and long term driving, which are associated with different mechanisms triggering discomfort.
Much of the work on driver comfort concentrated on seating [1, 2], including both static and dynamic evaluations [3], leading to significant achievements in terms of predicting seating comfort [4, 5]. Comparatively less work has been spent on assessment and prediction of comfort of the lower leg [6], associated with operation of the pedals [7, 8, 9, 10].
The work described in this paper focuses in particular on factors affecting the driving comfort of the lower part of the body, with the ultimate aim of understanding the relationship between the driver’s perception of comfort and the engineering design attributes associated with the pedal box design. It is recognized that in order to achieve this aim attention needs to focus on 2 aspects:
- We need to understand the relationship between the driver’s actual response, i.e. what the driver actually does in terms of positioning, posture and adjustments to posture, pattern and amplitude of movements required to complete the driving task, and the driver’s perception of comfort, i.e. the subjective response;
- We need to assess the relationship between the pedal design and other relevant engineering attributes (as inputs) and the driver’s actual and perceived response.
This analysis clearly suggests that the ability to objectively measure what the driver actually does is key to achieving the ultimate aim of correlating pedal design attributes with driver’s perceived comfort. The work described in this paper aimed to design and develop an ergonomic data measurement system for driver–pedals interaction that would support both of the tasks outlined above.
A design requirement set for the system was to be able to collect ergonomic data both statically and dynamically, i.e. during actual journeys. The system must be therefore portable and minimally intrusive to the driver’s personal comfort and the driving task.
An initial assessment of the system requirements pointed to the following factors that need to be measured and monitored during a test:
Ergonomic factors:
- Subject anthropometrics (Leg Segments, Foot Length, Stature, Soft Tissue);
- Driver positioning (Seat Position Fore/Aft, Seat Recline Angle);
- Driver movements (Hip, Knee and Ankle Joint Angles);
- Contact surface interaction (Buttocks on Seat, Heel Contact Location on Floor, Contact Between the Foot and Pedals);
- Longer term (i.e. over an extended drive task) physiological effects (e.g. muscle fatigue in the lower leg).
Vehicle and Environmental factors:
- Vehicle controls (acceleration and brake pedal positions, vehicle speed and gear position);
- Driving situation (road type, traffic & weather conditions).
This paper presents the development work for the ergonomic data measurement system for driver pedal interactions, and covers a description of the system architecture and a validation exercise to demonstrate the capability and performance of the system.
SYST
EM ARCHITECTURE
The measurement system integrates the electrogoniometry, electromyography, pressure pads, audiovideo (AV), GPS and on-board diagnostics (OBD) subsystems, and facilitates the monitoring of all required factors, while allowing time synchronization of the output provided by each subsystem.
Ergonomic factors such as driver’s positioning, contact surface interactions and lower body kinematics are monitored by the combined functions of the electrogoniometry and pressure pads subsystems, while muscular activity in the lower leg is monitored via electromyography.
The OBD, GPS and AV subsystems supply vehicle and environmental data; the ODB and AV data also is used to support the interpretation of the electro-goniometry data regarding driver’s lower body kinematics.
The basic architecture of the system and the distribution of system’s components between the vehicle and the driver are shown in Figure 1.
The Joint Event Marker (Figure 2) is used to identify specific events during the driving tests by simultaneously recording marks in all subsystem data logs; these marks are used to align the data, collected from each subsystem, for post-processing and analysis.
The system requires three laptop computers: first laptop drives the electro-goniometry, electromyography and the pressure pad subsystems via three USB links, second laptop records audio-video and GPS data via two USB and one serial link, while third laptop drives the OBD data acquisition.
The laptops are located in the rear seats area of the vehicle, which allows the observing engineer to monitor the equipment and conduct the tests without distracting the driver (Figure 3).
All equipment is powered from the vehicle’s 12V battery via appropriate DC/DC convertors.
ELECTRO-GONIOMETRY – The electro-goniometry subsystem, tasked with monitoring the motion of driver’s right leg, is assembled from readily available components supplied by Biometrics Ltd. It includes three electro-goniometry sensors, a portable signal amplifier, a base unit and the associated data logging and postprocessing software installed on a laptop computer. The twin-axis electro-goniometers can simultaneously measure angles in two planes on two independent data channels and are used to monitor the movement in the hip, knee and ankle joints (Table 1).
The sensors are attached directly to driver’s skin using double-sided adhesive tape. A pair of test-trousers has been developed to allow easy access down the side of the right leg, and secure the amplifier and the sensor cables.
The amplifier, worn by the driver, is a tiny microprocessor controlled signal conditioning unit with 8 analogue and five digital input channels, which communicates with the base unit via a RS422 data link; newer versions of this device are now offered with wireless communication [Biometrics Ltd., UK].
PRESSURE PADS – A customized pressure pad subsystem has been developed with Sensor Products Inc., based on their Tactilus® piezoresistive array technology, to monitor contact interactions between the driver and the vehicle. The subsystem consists of five separate pressure arrays (technical specification Table 2), two signal processing base-units linked with a laptop computer via a USB link, and the associated monitoring and post-processing software.
The pads are used to monitor the pressure between the driver and the seat (Figure 5), between driver’s right foot and shoe’s insole, and the shoe-car floor, shoeaccelerator pedal and shoe-brake pedal pressure (Figure 6). By providing information about the distribution and the magnitude of the contact pressure, the pressure pad subsystem assists the dynamic tracking of driver’s positioning and movements.

Figure 1. Ergonomic data measuring system architecture

Figure 2 Joint Event Marker in situ

Figure 3 Laptops located in rear seating area of vehicle
Table 1. Electro-goniometry sensors designation and specification
| Sensors | Joint | Measured Output | Range | Accuracy | Repeatability | Crosstalk |
|---|---|---|---|---|---|---|
| SG150 | Hip | Flexion/Extension, Abduction/Adduction (Figure 4.a) | ±150 degrees | ±2 degrees | ±1 degree | < ±5% |
| SG150 | Knee | Flexion/Extension (Figure 4.b) | ||||
| SG110/A | Ankle | Dorsiflexion/Plantarflexion Eversion/Inversion (Figure 4.c) |

a. hip

b. knee

c. ankle
Figure 4. Electro-goniometry measured outputs
ELECTROMYOGRAPHY – The electromyography (EMG) subsystem provides information on the activity of relevant muscles of the lower part of driver’s right leg. It includes the nonintrusive SX230 sensors/amplifiers manufactured by Biometrics Ltd., and an earth-strap to provide the required ground reference. The sensors are linked to the subject unit amplifier.
Based on preliminary research [Freeman, 2006] two muscles have been selected for monitoring during drive events: the Tibialis Anterior and the Soleus (Figure 7), which are located in the low leg and responsible for the Dorsiflexion / Plantarflexion of the ankle. The Tibialis Anterior muscle contracts while the foot is in dorsiflexion and extends when the foot is in plantarflexion. The Soleus contracts in order to plantarflex the ankle and extends as the ankle is dorsiflexed. The Gastrocneminus muscle is a larger muscle with a major controlling role in both dorsiflexion and plantarflexion; however, Soleus was preferred to the Gastr
ocnemius due to it is clearer signal as the ankle is plantarflexed [Freeman, 2006].
The Tibialis muscle is located on the front of the lower leg (shin) and runs down the outside of the tibia bone. The Soleus is at its closest to the surface of the skin in the lower part of the leg either side of the Achilles tendon. The sensors, attached to the driver’s skin using double-sided adhesive tape, were positioned above the belly of muscles and aligned with the fibers of muscles.
AUDIO/VIDEO – This audio-video subsystem includes two USB webcams with incorporated microphones, and an additional separate microphone to ensure that in the event of video failure the audio data is salvaged. The audio/visual data plays an important post-processing role in understanding driving test conditions; the audio equipment records driver’s answers to the through-test and end-of-test questionnaires, while the video data is used to validate driving maneuvers identified when postprocessing numerical data logged by other subsystems.
One camera, mounted to the passenger seat’s headrest, monitors the view through the windscreen directly in front of the vehicle, providing information about the traffic (Figure 8). The second camera with an associated light source is positioned under the steering column, facing the pedals and driver’s feet (Figure 9). The event marking red LED shown in Figure 9, which illuminates when the Joint Event Marker is activated, allows alignment of the audio-video data with the numerical data collected by the other subsystems. The LED marker for the windscreen video is placed on the vehicles dashboard
Table 2. Pressure pads designation and specification
| Sensor designation | Cell size (mm) | Cell array | Sensing area (mm x mm) | Calibrated pressure (KPa) | Resolution (KPa) |
|---|---|---|---|---|---|
| Seat pad | 24 | 16 x 16 | 429 x 429 | 26.7 | 0.1 |
| Car floor | 6 | 15 x 20 | 149 x 199 | 206.8 | 0.81 |
| Accelerator pedal | 6 | 15 x 6 | 138 x 49 | ||
| Brake pedal | 6 | 12 x 8 | 108.5 x 69 | ||
| Shoe insole | 6 | 16 x 8 | insole |

Fig 5 Driver’s seat pad in situ

Fig 6 Accelerator, brake and floor pads in situ

Figure 7. Tibialis Anterior and Soleus muscles
ON-BOARD DIAGNOSTIC (OBD) – The on-board diagnostics subsystem, consisting of a general purpose data logging module connected to the vehicle’s OBD plug and a laptop computer, provides valuable information about pedals activity and can assist in interpreting/validating the results of driving tests. Monitoring the position of the accelerator pedal, the brake line-pressure, and providing pedal-active flags, which identify when each pedal is in use, the data supplied by this subsystem enables a detailed analysis of the driver-pedals interaction.

Figure 8 View from head rest mounted camera

Figure 9 View from the steering column mounted camera
GLOBAL POSITIONING SYSTEM (GPS) – A commercially available GPS (MicroSat, Datron Technology) has been integrated in the measurement system to log vehicle position, speed and direction data. The MicroSat unit has a data acquisition rate of 20Hz and can log real-time data either directly into a laptop or into its internal memory for a later-time download.
This subsystem is very useful for determining driving situation in which events identified in the numerical data occur, particularly when driving tests are undertaken in ill-controlled environments such as public roads.
DATA COLLECTION EXERCISE
A validation exercise in the form of a data collection exercise during a test drive was planned and carried out to demonstrate and evaluate the performance and capability of the system.
In terms of performance, the specific objectives of this validation exercise were:
- To validate that all the equipment can be integrated into the measurement system;
- To verify that all data channels can be synchronized and can reliably record data in-situ over an extensive period of time;
- To develop and verify the procedure for instrumenting the driver with all the equipment, and to confirm that the system / equipment is not intrusive, i.e. it does not affect the driver’s ability to complete the driving task and it does not affect the driver’s perception of comfort.
From a capability point of view, the aim of the test was to validate that the objective ergonomic data collected using the measurement system is capable of showing specific differences between drivers in terms of positioning in the car, movements and activity of the lower leg during driving.
was planned which included a mixture of controlled driving conditions (i.e. on a test track and to a preimposed schedule including controlled speed ramps and stops), and uncontrolled driving on public roads, on a pre-defined route including highway, city driving and country roads. The test drive finished with another controlled lap. Altogether the drive test took about one hour to complete for each driver.
Three subjects covering a range of anthropometrics (listed in Table 3) were recruited for the test drive. All tests were carried out with the same SUV vehicle to reduce the variability induced by shifting the vehiclebased equipment (pressure pads, OBD, audio/video and GPS). In order to further reduce the between tests variability in the vehicle based setting, a limitation was imposed on the height adjustment of the seat, i.e. the subjects could only
adjust the fore-aft seat position and seat recline.
A procedure was developed and followed for instrumenting the subjects with the electrogoniometry and EMG equipment, which also included a “static” test aimed at evaluating the subject’s range of movement and “zeroing” the equipment before the drivers position themselves in the vehicle.
Table 3. Anthropometric characteristics of test drive subjects (expressed as a percentile of the male population [12] in brackets)
| Anthropometric data [m] / (%) | |||||
|---|---|---|---|---|---|
| Driver | Height | Upperleg | Lowerleg | Total leg | Foot |
| 1 | 1.57 (1%) | 0.42 (30%) | 0.36 (1%) | 0.78 | 0.24 (3%) |
| 2 | 1.78 (61%) | 0.47 (99%) | 0.43 (67%) | 0.90 | 0.26 (42%) |
| 3 | 1.86 (94%) | 0.49 (99%) | 0.45 (92%) | 0.94 | 0.27 (74%) |
A basic questionnaire was developed to evaluate subjective comfort during the test drive, and verbatim feedback from the drivers was collected throughout the drive event.
The drive tests were carried out over 2 days, and showed a reliable performance of all equipment. All subsystems were fully operational throughout the event, and data synchronization worked as planned.
Feedback from the subjects concerning the driver based instrumentation (goniometry and EMG) was that it did not affect their ability to drive or their perceived comfort.
PRELIMINARY RESULTS AND ANALYSIS
In order to analyze the large amount of data logged during the tests several Matlab® routines have been developed to assist with data processing, synchronization and analysis.
Figures 10 to 12 show an analysis of the output from the pressure pad subsystem, i.e. pressure distribution patterns on the seat, accelerator pedal and car floor.
The pressure plots in Figures 10.a, 11.a and 12.a clearly indicate significant differences between the positioning in the car of these three drivers in terms of the fore-aft seat position, the seat recline, and driver’s for-aft position in the seat.
The data from the pressure pad subsystem was further processed to investigate changes in the way drivers interacted with the car throughout the test. The twodimensional box & whiskers graphs in Figures 10.b 11.b and 12.b show the distribution of the foot-floor-pedal contact points, calculated as centers of gravity of the corresponding pressure plots, through the whole test event. These graphs give an indication of the level of readjustment of the driving position, which could be linked with discomfort levels.
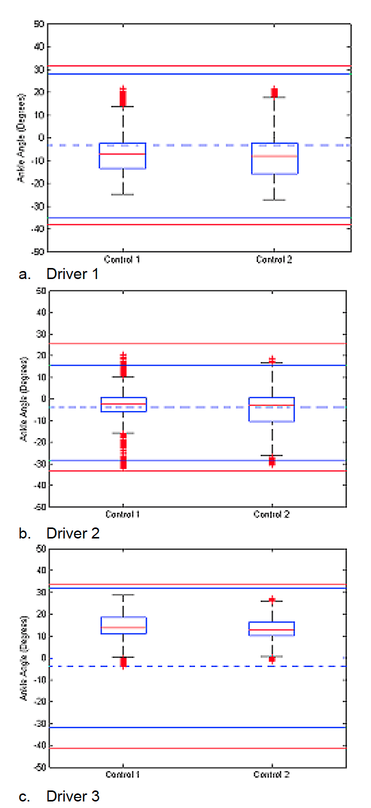
Another important set of data, provided by the electrogoniometry subsystem, has been processed to show the positioning of driver’s right foot on the accelerator pedal. The graphs in Figure 13.a-c show the ankle dorsiflexion / plantarflexion movement history through the initial and the final controlled track driving. The outer boundaries are drivers’ Maximum Voluntary Contraction (MVC) in both Dorsiflexion and Plantar Flexion, while the inner boundaries represent the comfortable range for each driver; the line close to zero is the midpoint of the MVC range.
The dorsiflexion / plantarflexion history plots clearly show that the first two drivers operate the accelerator pedal mainly in plantarflexion, around the midpoint of the MVC range. However, the third driver (of taller stature adopting a compact driving position) operated the accelerator pedal in the middle of the dorsiflexion range, which could explain the higher level of reported discomfort.

Figure 10 Driver 1 Results

Figure 11 Driver 2 Results

Figure 12 Driver 3 Results

Figure 13. Ankle dorsiflexion / plantarflexion history
CONCLUSION
This paper presented the development of an objective ergonomic measurement system for driver – pedal interaction.
The validation drive test with the system showed that the system performs well, i.e. all subsystems were properly integrated and synchronized, and it is capable of recording all the proposed parameters in real life drive events over an extended period of time. The equipment is minimally intrusive to the drivers and it does not affect their ability to complete the driving tasks or the level of driving comfort. The procedures for instrumenting the driver and setting-up each test were robust and enabled the logging of a significant amount of data.
Preliminary analysis of data collected from the validation test-drives was able to point to differences between drivers in terms of their position / posture, leg movements and joint angles. Further work is ongoing in developing post-processing capability to analyze the data collected during the test drives for a full ergonomic characterization, including correlation with electromyography output to provide an insight into the level of loading of different groups of leg muscles.
In summary, the integrated measurement system developed demonstrates a robust platform for collecting objective ergonomic data which could enhance the understanding of drivers’ lower leg comfort factors in relationship to actuation of acceleration and brake pedals.
REFERENCES
- Kolich, M. 2007. A Conceptual Framework Proposed to Formalize the Scientific Investigation of Automobile Seat Comfort. Applied Ergonomics, 39:15-27.
- Amirouche, F.M.L, Xu, P., Alexa, E. 1997. Evaluation of Dynamic Seat Comfort and Fatigue, SAE Paper No 971573.
- Adler, S., 2007. The Relation Between Long-term Seating Comfort and Driver Movement. DrPhil Dissertation, Friedrich Schiller Universitaet Jena.
- Kolich, M., 2004. Predicting Automobile Seat Comfort using a Neural Network, International Journal of Industrial Ergonomics, 33(4): 285-293.
- Kolich, M, Taboun, S.M. 2004. Ergonomics Modelling and Evaluation of Automo
bile Seat Comfort, Ergonomics 47(8):841-863. - Freeman, R, Haslegrave, C.M. 2004. Determination of Optimal Pedal Positioning for Automobiles using Jack. SAE 2004-01-2149.
- Greenbaum, J.J., Nowakowski, R. & Racenis, K. 1995. In-vehicle Accelelrator System Performance Measurement Machine. SAE 950030.
- Oundenhuijzen, A., Tan, K., Morsch, F. 2004. The relationship between Comfort and Knee Angles. SAE 2004-01-2144.
- Hoffman, E.R. 1991. Accelerator to Brake Movement Times. Ergonomics, 34(3): 277-287.
- Wang, X, LeBreton-Gadegbeku, B, Bouzon, L. 2004. Biomechanical evaluation of the comfort of automobile clutch pedal operation. International Journal of Industrial Ergonomics, 34(3): 209-221.
- Freeman, R. 2006. Accelerator Pedal Ergonomic Data Measurement System. MSc Thesis, University of Bradford, UK.
- Tilley, A.R., Henry Dreyfuss Associates. 2002. The measure of Man & Woman. J. Wyley & Sons.

